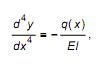
A equação diferencial de 4.ª ordem que define a linha elástica de uma viga prismática com carga distribuída q(x) é dada por

em que y é a linha elástica, x é o eixo de coordenadas que coincide com o eixo da viga, E é o módulo de elasticidade do material que compõe a viga e I é o momento de inércia da seção transversal da viga em relação à linha neutra.
Com base nessas informações e na figura a seguir, assinale a alternativa que apresenta a equação da linha elástica, considerando que EI seja constante e independente de x.


em que y é a linha elástica, x é o eixo de coordenadas que coincide com o eixo da viga, E é o módulo de elasticidade do material que compõe a viga e I é o momento de inércia da seção transversal da viga em relação à linha neutra.
Com base nessas informações e na figura a seguir, assinale a alternativa que apresenta a equação da linha elástica, considerando que EI seja constante e independente de x.
