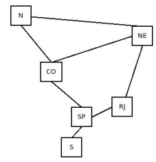
Para reduzir os custos de logística e aumentar sua eficiência, uma transportadora resolveu
implementar uma versão do Protocolo de Roteamento de Informação (em inglês RIP) entre seus
entrepostos de armazenamento espalhados no Brasil, sendo um em cada região, exceto no
Sudeste, onde ela tem instalações no RJ e em SP, conforme a Figura abaixo.

Considere que: • cada entreposto será chamado de nó e os caminhos entre eles, de enlaces. • no modelo usado pela transportadora, cada enlace possui custo igual a 1. I) A tabela de rotas em N conhecerá apenas os caminhos para NE e CO. II) O protocolo não converge, pois o número de nós ultrapassa o limite de nós do RIP. III) As maiores tabelas de roteamento estarão em CO, NE e SP, pois são os pontos mais interconectados. IV) Uma carga originada em RJ e destinada a N poderá ser enviada tanto por SP quanto por NE. Assinale a alternativa que possui apenas afirmativas CORRETAS

Considere que: • cada entreposto será chamado de nó e os caminhos entre eles, de enlaces. • no modelo usado pela transportadora, cada enlace possui custo igual a 1. I) A tabela de rotas em N conhecerá apenas os caminhos para NE e CO. II) O protocolo não converge, pois o número de nós ultrapassa o limite de nós do RIP. III) As maiores tabelas de roteamento estarão em CO, NE e SP, pois são os pontos mais interconectados. IV) Uma carga originada em RJ e destinada a N poderá ser enviada tanto por SP quanto por NE. Assinale a alternativa que possui apenas afirmativas CORRETAS