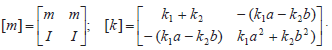
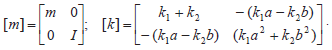
Um veículo pode ser modelado como um corpo rígido de massa m e centro de gravidade em C, acoplado a duas molas lineares de constantes k1 e k2, conforme mostrado na figura a seguir.

A matriz de massa e a matriz de rigidez associadas à dinâmica do veículo, são, respectivamente: