Magna Concursos
2232222 Ano: 2022
Disciplina: Química
Banca: FCC
Orgão: SEDU-ES

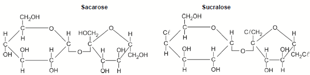
Atenção: Para responder à questão considere o esquema a seguir que mostra as estruturas da sacarose e da sucralose.

Enunciado 3353970-1

As funções orgânicas comuns à sacarose e à sucralose são

 

Provas

Questão presente nas seguintes provas