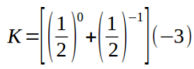
Seja K uma determinada constante obtida conforme abaixo:

Pode-se dizer que |k| + 1 é igual a:

Pode-se dizer que |k| + 1 é igual a:
Provas
Questão presente nas seguintes provas
Professor do Ensino Fundamental - Matemática
40 Questões