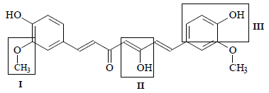
A curcumina é um composto presente no açafrão da terra e utilizado em muitas culturas orientais como tempero e corante. Atualmente, é muito utilizado devido às suas propriedades terapêuticas. Sua estrutura química é apresentada abaixo.

Analisando a estrutura química da curcumina, é CORRETO afirmar que os grupos funcionais I, II e III (evidenciados) representam, respectivamente: