Magna Concursos
3446677 Ano: 2024
Disciplina: Matemática
Banca: Funatec
Orgão: Pref. Cururupu-MA

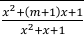
Se Enunciado 3446677-1 <2 ∀ x ∈ ℝ, então pode-se determinar que m é:

 

Provas

Questão presente nas seguintes provas

Professor do Ensino Fundamental - Matemática

40 Questões