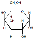
Na figura, é apresentada a fórmula de Haworth para a forma hemiacetálica cíclica de um monossacarídeo.

Trata-se de uma e a conformação do átomo de carbono anomérico é . Em relação à sua estrutura de cadeia aberta, a ciclização ocorreu entre os átomos de carbono de números .
Assinale a alternativa que preenche, correta e respectivamente, as lacunas do texto.
Provas
Questão presente nas seguintes provas