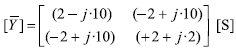
A matriz de admitâncias nodais de um circuito elétrico é:

Nesse contexto, assinale a alternativa que apresenta corretamente
a matriz de admitâncias desse circuito, quando uma
admitância de valor
j·2 [S] é conectada entre o segundo nó
e a referência desse circuito.