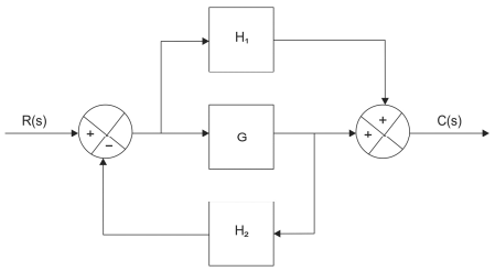
Considere o diagrama de blocos de um sistema de controle mostrado na figura abaixo:

A função de transferência do sistema acima é:
Provas
Questão presente nas seguintes provas
Considere o diagrama de blocos de um sistema de controle mostrado na figura abaixo:

A função de transferência do sistema acima é: