Magna Concursos
2553150 Ano: 2018
Disciplina: Química
Banca: DIRENS Aeronáutica
Orgão: CIAAR

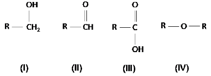
Analise as estruturas químicas a seguir.

Enunciado 2822991-1

Fonte: Arquivo da Banca Elaboradora.

Segundos os grupos funcionais, podemos dizer que as substâncias I, II, III e IV, nessa ordem, são:

 

Provas

Questão presente nas seguintes provas

EAOEAR - Engenharia Química

60 Questões