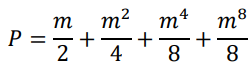
Considere a expressão:
onde m é um número inteiro.
Deseja-se saber para quantos valores inteiros de m = 2022, 2023, 2024 e 2025 o valor de P também é um número inteiro.
onde m é um número inteiro.
Deseja-se saber para quantos valores inteiros de m = 2022, 2023, 2024 e 2025 o valor de P também é um número inteiro.
Provas
Questão presente nas seguintes provas
Digitador
30 Questões
Monitor de Creche
30 Questões
Recepcionista
30 Questões