Magna Concursos
222606 Ano: 2010
Disciplina: Matemática
Banca: Consulplan
Orgão: Pref. Congonhas-MG
Provas:

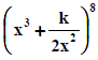
Qual é o valor de k no desenvolvimento de enunciado 222606-1 para que o coeficiente numérico do termo em x9 seja 56?

 

Provas

Questão presente nas seguintes provas

Professor - Matemática

60 Questões