Magna Concursos
Questões
Planos
Entrar
Entrar
Criar Conta
Respondida
3099412
Ano:
2024
Disciplina:
Matemática
Banca:
FAUEL
Orgão:
Pref. Maringá-PR
Provas:
Educador Social
Provas
×
Engenheiro Civil
Provas
×
Farmacêutico
Provas
×
Fisioterapeuta
Provas
×
Médico do Trabalho
Provas
×
Odontólogo
Provas
×
Psicólogo
Provas
×
Terapeuta Ocupacional
Provas
×
Álgebra
Álgebra Linear
Sistemas lineares
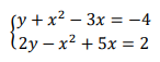
Marque a alternativa que apresenta o valor de x + y de tal forma que x e y sejam soluções inteiras do sistema a seguir.
A
–2.
B
0.
C
4.
D
8.
Resolver
Comentários
0
×
Cadernos
×
Flashcards
×
Estatísticas
×
Reportar um erro
×
Provas
Questão presente nas seguintes provas
Publicar
Responder
Qual o problema da questão?
Selecione uma opção
Questão Desatualizada
Questão Repetida
Gabarito Errado
Outros Motivos
Mensagem
Enviar
Acessar
Criar Conta
Acesse sua Conta
Google
Facebook
Esqueci minha senha
Acessar
Ainda não tem conta?
Crie uma
!
Crie uma Conta
Criar Conta
Olá, para continuar, precisamos criar uma conta!
É
rápido
e
grátis
.
Google
Facebook
Concordo com os
Termos de Uso
Criar
Já tem uma conta?
Acesse aqui