Magna Concursos
1622998 Ano: 2006
Disciplina: Matemática
Banca: UPENET/IAUPE
Orgão: Pref. Garanhuns-PE
Provas:

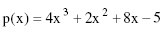
Sabendo que o polinômio enunciado 1622998-1 tem o número complexo enunciado 1622998-2 como uma de suas raízes, então a soma de todas as raízes de p(x) é igual a

 

Provas

Questão presente nas seguintes provas

Professor - Matemática

30 Questões