Magna Concursos
1893813 Ano: 2019
Disciplina: Matemática
Banca: COTEC
Orgão: Pref. Diamantina-MG

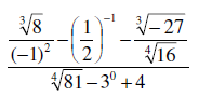
O valor da expressão

enunciado 1893813-1

é:

Questão Anulada

Provas

Questão presente nas seguintes provas

Auxiliar Técnico - Telecomunicações

35 Questões