Magna Concursos
334905 Ano: 2009
Disciplina: Matemática Financeira
Banca: CESPE / CEBRASPE
Orgão: TCE-RN

Julgue os itens a seguir a respeito de matemática financeira.

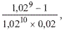
Considere o seguinte fluxo de valores: a) no momento zero, desembolso no valor de R$ 1.000,00; b) no momento um, despesa no valor de R$ 2.000,00; c) do momento dois ao momento dez, nove receitas de valores iguais a R$ 500,00. Considerando que o intervalo de tempo decorrido entre momentos consecutivos é o mês, que a taxa de juros compostos é de 2% ao mês, que se convencionou despesa negativa e receita positiva, e que 8 é valor aproximado para , então a soma dos valores atuais das quantias Enunciado 334905-1 no momento zero é inferior a R$ 1.100,00.

 

Provas

Questão presente nas seguintes provas

Inspetor de Controle Externo

120 Questões