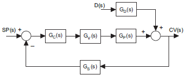
Observe o esquema abaixo.

Assinale a opção que corresponde à expressão correta da função de transferência !$ \large{CV(s)\over SP(s)} !$.
Observe o esquema abaixo.

Assinale a opção que corresponde à expressão correta da função de transferência !$ \large{CV(s)\over SP(s)} !$.