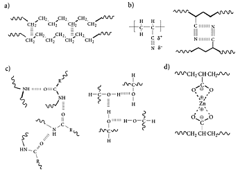
As figuras a seguir representam os principais tipos de interações intermoleculares existentes em moléculas de polímeros. Considerando a natureza química das cadeias poliméricas, indique a alternativa que relaciona corretamente cada representação com a sua respectiva interação intermolecular:
