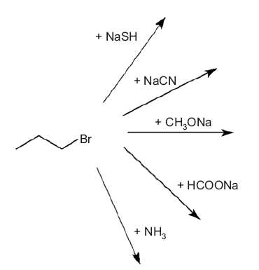
O esquema a seguir apresenta algumas reações que ocorrem com o brometo de propila.

Dentre as substâncias abaixo, aquela que NÃO pode ser considerada um produto das reações esquematizadas é o(a)
Provas
Questão presente nas seguintes provas
O esquema a seguir apresenta algumas reações que ocorrem com o brometo de propila.

Dentre as substâncias abaixo, aquela que NÃO pode ser considerada um produto das reações esquematizadas é o(a)