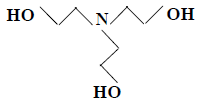
A trietanolamina é um líquido límpido, viscoso e higroscópico, com suave odor amoniacal, muito usado na indústria cosmética e de tintas látex, com função umectante e estabilizadora de pH. Pode ser usada também na fabricação da mostarda de nitrogênio, produto similar ao gás mostarda, de uso militar, razão pela qual sua produção e comercialização no Brasil são controladas pelo exército.
Sua fórmula está representada abaixo:

Sobre a trietanolamina, é incorreto afirmar que (dados: massas atômicas: C=12; O=16; H=1; N=14):