- FundamentosPropriedades das Substâncias
- Química InorgânicaGeometria Molecular, Polaridade e Forças Intermoleculares
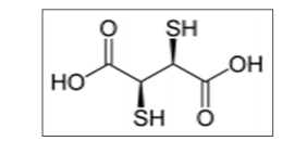
O tratamento para intoxicações causadas por
chumbo (II), mercúrio (II) e cádmio (II) está basicamente
centrado na utilização de antídotos, que são substâncias
químicas de diferentes classes. Algumas dessas substâncias
recebem o nome de agentes complexantes ou quelantes e
podem ser naturais ou sintéticas. Um dos agentes quelantes
mais utilizados é o ácido 2,3-dimercaptosuccínico (DMSA).
A representação molecular desse composto pode ser vista a
seguir.
Disponível em:<http://www.crq4.org.br/quimica_viva_os_metais_e _a_saude_humana . Acesso em: 17 abr. 2016, com adaptações.
Com base nessas informações, é correto afirmar que o complexo [Hg(DMSA)2] formado com o DMSA e o mercúrio apresenta
Disponível em:<http://www.crq4.org.br/quimica_viva_os_metais_e _a_saude_humana . Acesso em: 17 abr. 2016, com adaptações.

Com base nessas informações, é correto afirmar que o complexo [Hg(DMSA)2] formado com o DMSA e o mercúrio apresenta