Magna Concursos
2775184 Ano: 2023
Disciplina: Matemática
Banca: FAUEL
Orgão: Pref. Piên-PR
Provas:

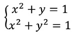
Assinale um par ordenado que é solução real do sistema de equações a seguir.

Enunciado 3422149-1

 

Provas

Questão presente nas seguintes provas