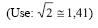
Em um terreno em forma de um quadrado foi feita uma trilha cortando a diagonal do terreno, conforme a ilustração:

A extensão dessa trilha, em metros, é de, aproximadamente: 
Em um terreno em forma de um quadrado foi feita uma trilha cortando a diagonal do terreno, conforme a ilustração:

A extensão dessa trilha, em metros, é de, aproximadamente: 