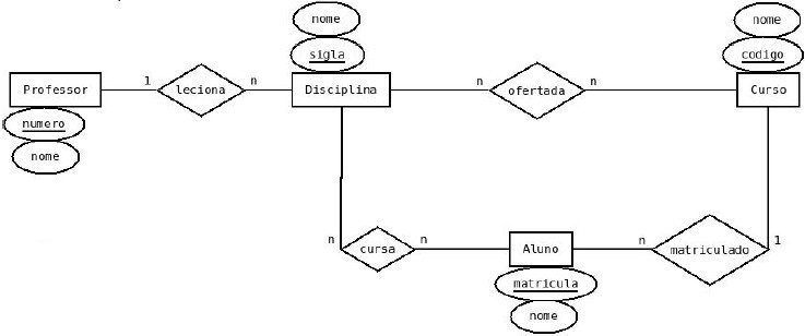
No cenário de um sistema acadêmico, um professor ministra várias disciplinas que são ofertadas por vários cursos. Um curso tem matriculados vários alunos que cursam várias disciplinas. As disciplinas são cursadas por vários alunos sendo que o aluno só pode estar matriculado em um curso. O curso tem várias disciplinas que são lecionadas por um único professor. Abaixo é dado o modelo entidade-relacionamento que representa este cenário. Com base nesse modelo, quantas tabelas serão mapeadas no banco de dados?
