A infiltração é definida como a água que penetra e umedece o solo. As taxas infiltradas dependem da precipitação pluviométrica, mas também das propriedades físico-hídricas dos solos. A determinação dessas propriedades apresenta complexidade.
As funções de pedotransferência (pedotransfer functions, em inglês) foram propostas para simplificar a caracterização físico-hídrica dos solos e a obtenção das curvas de retenção e condutividade hidráulica. Estas funções são empíricas e correlacionam parâmetros físicos-hídricos dos solos com sua textura e teor da matéria orgânica. As propriedades de textura encontram maior disponibilidade ou são de fácil obtenção. Na literatura, os estudos de Saxton et al. (1986) e Rawls e Brakensiek (1982, 1989) são bastante citados.
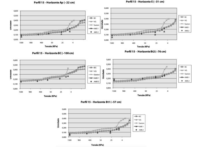
Os gráficos a seguir referem-se às curvas de retenção obtidas por modelos de pedotransferência e pontos amostrais (AMS 1 e 2) de um estudo em uma Bacia Hidrográfica em São José do Ubá, RJ.

Na curva de retenção há dois pontos importantes que definem as umidades: a capacidade de campo e ponto de murcha. A primeira se refere ao potencial mátrico e ao conteúdo de umidade do solo relacionado à parada da drenagem interna. Já o ponto de murcha é definido como o conteúdo de umidade de solo, a partir da qual a água torna-se indisponível ao sistema radicular.
Nesse sentido, considerando as relações obtidas pelos modelos BC (Brooks e Corey), VG (van Genuchten) e Saxton, para o perfil 15 nos gráficos, assinale a opção que indica o(s) horizonte(s) com maior umidade no ponto de murcha.