Ainda acerca de conhecimentos de matemática financeira, julgue os itens subseqüentes.
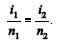
Considere que dois capitais iguais sejam aplicados pelo mesmo prazo, no regime de juros simples, a taxas equivalentes i1 e i2, sendo que, para o capital aplicado à taxa i1, esse prazo correspondeu a n1 períodos, enquanto que, para o capital aplicado à taxa i2, o prazo correspondeu a n2 períodos. Nessas condições, tem-se que 
Provas
Questão presente nas seguintes provas