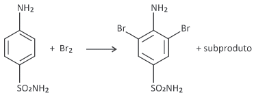
A reação do antibiótico sulfanilamida com halogênios leva à reação de substituição com o halogênio em duas posições distintas do anel aromático, como representado na equação não balanceada a seguir.

Em um experimento, 1 L de uma solução de sulfanilamida de pH 5 reagiu com Br2 em excesso, obtendo-se pH 4 após reação total. Considerando que o volume se manteve inalterado após a adição do halogênio, quantos mols de sulfanilamida reagiram com bromo?