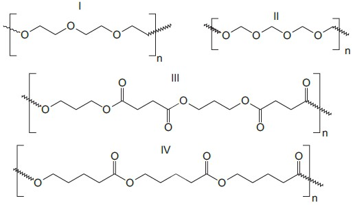
O aumento na profundidade dos poços de petróleo marinhos exige que seja freqüente a otimização das formulações de fluidos de perfuração. Polímeros oxigenados como os poliglicóis e poliéteres são amplamente utilizados na formulação de fluidos de perfuração. Considere os polímeros oxigenados mostrados a seguir.

Os monômeros usados na produção dos polímeros I a IV mostrados acima, respectivamente, são:
| Polímero |
|||
| I | II | III | IV |