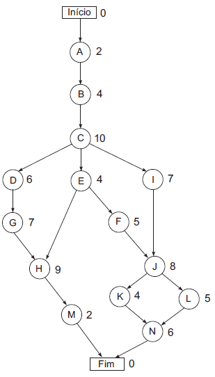
A figura a seguir apresenta a sequência de atividades a serem realizadas em um projeto, sendo a duração das atividades definida em dias.

Qual o atraso, em dias, que pode sofrer a atividade M, sem comprometer o prazo final do projeto?
Provas
Questão presente nas seguintes provas
Analista de Planejamento - Engenharia Civil
70 Questões