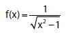
Considere a função
, definida por

Assinale a alternativa que indica corretamente o domínio dessa função.
, definida por
Assinale a alternativa que indica corretamente o domínio dessa função.
Provas
Questão presente nas seguintes provas
Advogado
50 Questões
Analista de TI - Análise de Sistemas
50 Questões