Magna Concursos
176369 Ano: 2009
Disciplina: Engenharia Elétrica
Banca: CESPE / CEBRASPE
Orgão: DETRAN-DF
Enunciado 176369-1

Suponha que o circuito elétrico mostrado na figura acima é ligado
a partir do instante Enunciado 176369-2 e que nenhum dos elementos passivos
contenha energia armazenada antes desse instante.

Com base nessas informações, julgue os itens que se seguem.
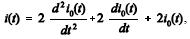
A equação que descreve o comportamento da corrente elétrica Enunciado 176369-3, desde o instante em que o circuito foi ligado, pode ser escrita como Enunciado 176369-4 com as devidas condições iniciais de contorno.
 

Provas

Questão presente nas seguintes provas

Analista de Trânsito - Engenharia Elétrica

120 Questões