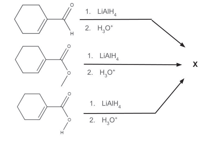
Algumas substâncias podem ser obtidas a partir de diferentes matérias-primas submetidas às mesmas condições.
O composto X, por exemplo, pode ser obtido a partir de um aldeído, um éster ou um ácido carboxílico, como representado na figura abaixo:

A alternativa que contém a representação estrutural do composto X é: