Magna Concursos
881101 Ano: 2016
Disciplina: Matemática
Banca: FUNDEP
Orgão: Pref. Ibirité-MG
Provas:
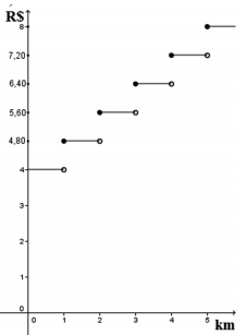
Considere que em uma cidade os táxis cobram suas tarifas segundo a seguinte regra: R$ 4,00 para se iniciar o deslocamento mais R$ 0,80 toda vez que se completar um quilômetro. Dessa forma, assinale a alternativa que apresenta o gráfico que representa o valor cobrado em relação ao número de quilômetros deslocados, nessa cidade.
 

Provas

Questão presente nas seguintes provas

Professor - Matemática

40 Questões