Magna Concursos
380440 Ano: 2008
Disciplina: Matemática
Banca: Consulplan
Orgão: Correios
Provas:
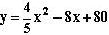
Segundo as previsões de um jornal econômico, o PIB anual de um país(y) em bilhões de dólares daqui a x anos poderá ser calculado pela expressão: enunciado 380440-1. Para quais valores de x, o PIB anual desse país ultrapassará 140 bilhões de dólares?

 

Provas

Questão presente nas seguintes provas