
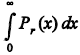
Na figura precedente, Pr(x) representa a densidade
radial de probabilidade para o átomo de hidrogênio em seu
estado fundamental, sendo x a razão entre a distância r
do elétron ao núcleo e rB, raio de Bohr desse átomo, ou seja,
, em que x = r/rB. O gráfico de I(P), definido
por
, é representado na
figura pela linha pontilhada.
Considerando essas informações, assinale a opção correta