Magna Concursos
187289 Ano: 2018
Disciplina: Engenharia Eletrônica
Banca: FCC
Orgão: SABESP

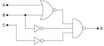
O circuito abaixo realiza a seguinte expressão lógica:

Enunciado 187289-1

 

Provas

Questão presente nas seguintes provas

Técnico de Saneamento - Eletrônica

50 Questões