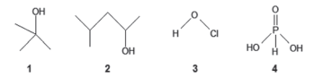
O ácido sulfúrico e o etanol são substâncias químicas muito utilizadas em reações de síntese e também como agentes de limpeza de vidraria. No entanto, é possível encontrar inúmeros tipos de ácidos inorgânicos e álcoois em um laboratório. Sendo assim, os nomes das substâncias a seguir são:
