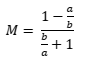
Considere a lei de formação a seguir:

Assinale a alternativa que apresenta o valor de M para
e b = -3.
Provas
Questão presente nas seguintes provas
Fiscal de Tributos
30 Questões
Técnico de Enfermagem
30 Questões
Considere a lei de formação a seguir:

Assinale a alternativa que apresenta o valor de M para
e b = -3.