A frase “semelhante dissolve semelhante” é muito utilizada na química para justificar a solubilidade dos compostos. A solubilidade também pode ser quimicamente justificada através das interações intermoleculares (forças de atração) semelhantes, existentes entre soluto e solvente.
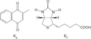
Considere as vitaminas K3 e B7, cujas estruturas estão representadas a seguir.
No que concerne à solubilidade em água, verifica-se que a vitamina.
Considere as vitaminas K3 e B7, cujas estruturas estão representadas a seguir.
No que concerne à solubilidade em água, verifica-se que a vitamina.
Provas
Questão presente nas seguintes provas