
A figura acima mostra um circuito elétrico, em que são indicados as resistências de todos os resistores, a tensão de excitação v(t), o potencial e1(t) no nó central e as correntes i1(t) e i2(t). Considerando que todos os componentes desse circuito sejam ideais, julgue os itens que se seguem.
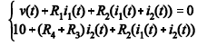
A partir das equações abaixo, é possível calcular corretamente as correntes i1(t) e i2(t).
