Magna Concursos
1111589 Ano: 2014
Disciplina: Matemática
Banca: UFPR
Orgão: Itaipu
Provas:

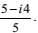
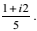
Assinale a alternativa que apresenta um número complexo equivalente ao número enunciado 1111589-1 .

 

Provas

Questão presente nas seguintes provas

Técnico de Eletrônica

50 Questões