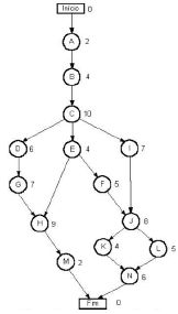
O diagrama mostrado na figura a seguir faz parte da aplicação do método CPM.

Disponível em: <http://www.ufrrj.br/codep/materialcursos/gerenciamento/gerenciamentotempo/ CGP-GT_PERT_CPM_FernandoNogueira.pdf>. (Adaptado).
Esse método é usado em
Provas
Questão presente nas seguintes provas