Magna Concursos
1780339 Ano: 2004
Disciplina: Engenharia Elétrica
Banca: CESPE / CEBRASPE
Orgão: PF

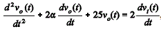
A relação entre a tensão de entrada vi(t) e a tensão de saída vo(t) em um circuito elétrico é dada pela equação diferencial , Enunciado 1780339-1 para t > 0. Nessa equação, " é uma constante. Sabe-se que, para uma entrada do tipo vi(t) = 10 cos (5t) V e t > 0, a amplitude da tensão de saída em regime permanente é igual a 5 V. Com base nessas informações, julgue os itens a seguir, considerando t > 0.

A resposta transitória do circuito no domínio do tempo é do tipo subamortecida.

 

Provas

Questão presente nas seguintes provas