Magna Concursos
143396 Ano: 2018
Disciplina: Matemática
Banca: IBADE
Orgão: Pref. Manaus-AM
Provas:

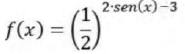
Considere uma função f , de domínio real, dada pela relação:

enunciado 143396-1

Dessa forma, calcule o máximo valor assumido pela imagem de f.

 

Provas

Questão presente nas seguintes provas

Professor - Matemática

60 Questões