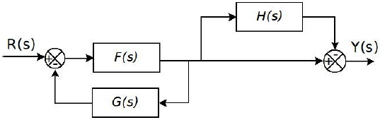
Dado o diagrama de blocos:
Assinale a alternativa com a função de transferência que representa Y(s)/R(s).
!$ { \large Y(s) \over R(s)} = { \large F(s) H(s) \over [1 + F(s) G(s) H(s)] } !$
!$ { \large Y(s) \over R(s)} = { \large F(s) H(s) \over [1 + G(s)] [1+ H(s)] } !$
!$ { \large Y(s) \over R(s)} = { \large F(s) H(s) \over [1 + G(s) H(s)] } !$
!$ { \large Y(s) \over R(s)} = { \large F(s) \over 1 + G(s) F(s)] } [1 - H(s)] !$
!$ { \large Y(s) \over R(s)} = { \large F(s) - H(s) \over [1 +G(s) F(s)] } !$
Olá, para continuar, precisamos criar uma conta! É rápido e grátis.