Magna Concursos
3251862 Ano: 2015
Disciplina: Química
Banca: UFPA
Orgão: UFPA
Provas:

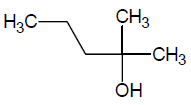
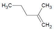
Observe a reação abaixo.

Enunciado 3579557-1

O produto principal dessa reação é

 

Provas

Questão presente nas seguintes provas

Técnico de Química

50 Questões