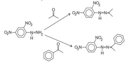
Reações de formação de hidrazonas são usualmente empregadas na caracterização de aldeídos e cetonas. A acetona e a acetofenona, cujas carbonilas absorvem no infravermelho em 1 715 cm−1 e 1 685 cm−1, respectivamente, reagem com 2,4-dinitrofenil-hidrazina, conforme o esquema abaixo:

Com relação às reações de formação das hidrazonas, analise as afirmativas a seguir:
I. As reações se processam segundo um mecanismo de substituição nucleofílica.
II. A acetofenona reage mais rapidamente do que a acetona.
III. A conjugação do anel aromático com a carbonila na acetofenona acarreta a diminuição da densidade eletrônica da ligação C=O.
Assinale