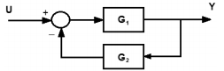
A figura a seguir apresenta um sistema de controle representado pelo diagrama de blocos.

Esse sistema pode ser substituído por uma única função de transferência, conforme
Provas
Questão presente nas seguintes provas
Técnico de Nível Superior - Engenharia Elétrica
80 Questões