Dê o somatório dos itens verdadeiros:
(1) O algarismo das unidades de 0! + 1!+ 2! + 3! + 4! + 5! + 6!+...+ 2015! é igual a 2016!.
(4) ln 5√e3 + (log53) (log925) é um número racional.
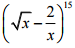
(8) O coeficiente de X6 no desenvolvimento de
é igual a -30.
(1) O algarismo das unidades de 0! + 1!+ 2! + 3! + 4! + 5! + 6!+...+ 2015! é igual a 2016!.
(4) ln 5√e3 + (log53) (log925) é um número racional.
(8) O coeficiente de X6 no desenvolvimento de
é igual a -30.